Hoy vamos a explicar un concepto que posiblemente os sonará, pero sino, podéis aprender algo «nuevo»: NEAT
Índice
- 1 NEAT Qué es
- 2 ¿Qué es el balance energético?
- 3 EAT Y NEAT
- 4 ¿El NEAT es el futuro?
- 5 ¿Cómo se mide el NEAT?
- 6 ¿Por qué tanto bombo al NEAT?
- 7 Stop a la obesidad
- 8 ¿Y cuál es la mejor forma de prevenir la obesidad?
- 9 10000 pasos al día
- 10 ¡Muévete mas!
- 11 Conclusiones
- 12 Fuentes Bibliográficas
- 13 Entradas Relacionadas
NEAT Qué es
NEAT significa literalmente “Non-Exercise Activity Thermogenesis”.
¿Te has quedado igual que estabas, verdad?
¿Qué es el balance energético?
El balance energético es la relación entre la cantidad de energía que obtenemos (normalmente a través de la ingesta de alimentos), y la cantidad de energía que gastamos.
Esta relación se ha conceptualizado como teoría CICO (Calories IN -> Calories OUT) y es el modelo jerárquico que determina los cambios en la masa grasa y la masa muscular a medio plazo.
Teoría CICO
Por eso personalmente me gusta más el concepto “Status energético”.
La teoría CICO es la base de cualquier variación del peso corporal a medio plazo:
CI > CO = Ganancia de peso | CI < CO = Pérdida de peso.
Sin embargo, como entre la entrada y la salida de energía hay una gran cantidad de factores que actúan sobre el balance, es más correcto llamarlo status energético. La siguiente imagen puede representar de forma sencilla la diferencia entre ambos conceptos.

Figura I. CICO en dos contextos diferentes: Arriba en un modelo mecánico (bomba calorimétrica), y abajo en un modelo holístico (humano).
¿De dónde obtenemos las calorías?
De los alimentos, exclusivamente (salvo en enfermos con nutrición parenteral).
Y a pesar de que existen devotos que crean que con la luz del sol y el agua sobrevivimos lo cierto es que no es así, ya que carecemos de la capacidad de sintetizar nuestra propia energía.
¿Dónde gastamos las calorías?
Estamos acabando el background y llegando al punto donde vas a comprender rápidamente qué es el NEAT.
Nuestro gasto energético es un compendio de:
- El gasto energético en reposo (mal llamado tasa metabólica basal).
- El gasto energético por actividad.
- El efecto térmico de los alimentos (del cual puedes leer más aquí).
- Otros gastos marginales no categorizables en los anteriores (por ejemplo, las fluctuaciones emocionales).
En un periodo de tiempo determinado.

Figura II. Determinantes del gasto energético total diario (TDEE). BMR: Tasa metabólica basal; REE: Gasto energético en reposo; NEAT: termogénesis por actividad física sin ejercicio; EAT: Termogénesis por ejercicio físico; TEF: Termogénesis alimentaria; NREE: No-Gasto energético en reposo. (Trexler, Smith-Ryan, y Norton, 2014).
EAT Y NEAT
Hemos llegado, EAT y NEAT son los dos factores que unidos constituyen nuestro gasto energético por actividad.
EAT significa Exercise Activity Thermogenesis, y NEAT significa Non-Exercise Activity Thermogenesis.
La diferencia radica en la determinación del concepto “ejercicio”.
Lo primero que nos enseñan cuando entramos al grado de Ciencias de la Actividad Física y el Deporte es la diferencia entre actividad física y ejercicio físico, (y deporte):
- La actividad física son el conjunto de acciones que producen un gasto energético derivado de la contracción musculoesquelética y la producción de movimiento.
- El ejercicio físico es la actividad física, consciente y planificada, que se realiza para mejorar uno o varios aspectos de nuestra condición física.
- «Voy a perder el bus y corro 200m para no tener que esperar al siguiente» = Actividad Física.
- «Quiero mejorar mi capacidad cardiorrespiratoria y hoy me tocan series de velocidad de 200m» = Ejercicio Físico.
El EAT es el gasto energético del ejercicio físico; y el NEAT es el gasto energético del resto de actividad física que no es ejercicio físico.
¿Ahora sí verdad? Ya tiene lógica el Non-Exercise Activity Thermogenesis.
¿El NEAT es el futuro?
El NEAT no es algo esencial, no es un fallo de la matrix…
Y a pesar de que en muchos sitios podrás leer titulares similares a:

¡El NEAT, la estrategia definitiva para la pérdida de grasa!
Lo siento, Si CI- es mayor que -CO, seguirás engordando aunque tu NEAT sea desproporcionado, estos titulares no hacen más que confundir al lector.
¿Cómo se mide el NEAT?
El auténtico NEAT se mide a través de una sencilla ecuación que integra complejas pruebas de estimación del gasto energético en reposo, la cuantificación del gasto energético por el ejercicio físico, la calorimetría post-ingesta a fin de determinar el TEF…
¿Por qué tan complejo?
Porque… ¿Cómo mides el gasto energético de aplaudir, de reír, de un tic nervioso…? Eso también es NEAT.
Obviamente, por motivos prácticos el NEAT se mide, usualmente, en base al tiempo activo a lo largo del día (a través de un acelerómetro), o al número de pasos diarios (a través de un podómetro)

Ya que la cantidad de tiempo caminando es el principal contribuyente a nuestro NEAT diario.
¿Por qué tanto bombo al NEAT?
Porque sabemos que la actividad física es un factor importante en la prevención de la morbimortalidad prematura.
Actualmente estamos viviendo el fenómeno social de mayor aumento de la obesidad a nivel mundial.
| Todas las regiones del mundo (salvo África Central, y Asia Meridional) están experimentando este fenómeno: |
via GIPHY

Figura III. % de obesidad (rojo) y sobrepeso (azul) en adultos en España (año 2014-2015). Recuperado de https://www.worldobesitydata.org/translated-summary-country-cards/

Figura IV. % de obesidad (rojo) y sobrepeso (azul) en niños en España (año 2015-2016). Recuperado de https://www.worldobesitydata.org/translated-summary-country-cards/
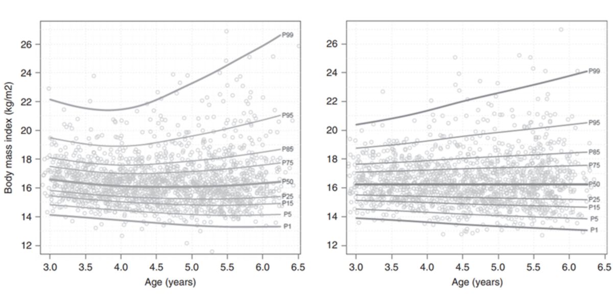
Ojo a los datos…

Figura V. Relación entre edad (eje X) e índice de masa corporal (eje Y), en niños (izquierda) y niñas (derecha) menores de 5 años en España. Las líneas de tendencia representan los percentiles de la muestra. (Cadenas-Sánchez et al., 2019).
Stop a la obesidad
Sabemos desde tiempos inmemoriales que la obesidad es una metabolopatía desencadenante de otras metabolopatías tales como: Diabetes Mellitus tipo II, dislipemias que conducen a accidentes cardiovasculares, daño endotelial y enfermedades vasculares independientes del perfil lipídico, insuficiencia cardiaca, neurodegeneración inducida por lipotoxicidad…
Ser obeso es una condena a muerte prematura. ¿Exagero?
“De hecho, la obesidad es uno de los factores de riesgo más importantes de evitar con significación en la morbilidad y la mortalidad prematura, resultando en una menor calidad de vida, elevado desarrollo de invalidez, y esperanza de vida reducida en una media de 7 años”
Von Loeffelholz y Birkenfeld, 2000
Reducir el tejido adiposo y, sobre todo, controlar nuestro peso corporal es clave para nuestra supervivencia a largo plazo.

Figura VI. Riesgo de mortalidad por accidentes cardiovasculares entre quintiles de IMC (izquierda), % grasa corporal (centro), e índice de masa grasa (derecha). Adaptado de Ortega et al. (2016).
¿Y cuál es la mejor forma de prevenir la obesidad?
Comiendo menos y moviéndonos más.
La Organización Mundial de la Salud lo sabe, y por eso las recomendaciones actuales consisten en mantener un mínimo de 150 minutos de ejercicio físico a la semana a intensidad moderada, o 75 minutos de ejercicio físico a la semana a intensidad vigorosa.
¡Ponte las zapatillas y vámonos al gym a darlo todo!
10000 pasos al día
Tudor-Locke y Bassett (2004) establecieron el corte de 10000 pasos al día para poder considerar “activa” a una persona. 10000 pasos al día…
Si tu trabajo consiste en estar sentado en una oficina todo el día, puede resultar complicado alcanzar ese número de pasos, puedes llegar parecerte a un autobusero londinense.
Fíjate:
Como él (y sus colegas) creían que ser físicamente inactivo era un factor contribuyente al desarrollo de patologías potencialmente letales hicieron una cosa:
1. Buscaron todos los medios de transporte público de Londres.

2. Reclutaron un total de 31000 trabajadores (revisores y conductores)
3. Les controlaron unos años.

Figura VII. Ratio de muertes anuales por cada 1000 sujetos. Conductores arriba, Revisores abajo. (Morris y Oxfd, 1953).
Los revisores tenían un NEAT altísimo, mientras que los conductores… No.
¡Muévete mas!
- Saca a pasear al perro,
- sube por las escaleras,
- coge la bicicleta para ir al trabajo,
- haz las tareas de la casa, y
- pártete de risa a lo largo del día.
¡Tu salud (y tus abdominales) y lo agradecerá(n)!
Conclusiones
- El NEAT es el gasto energético de la actividad física que no se destina voluntariamente a la mejora de la condición física.
- El NEAT es uno de los dos componentes del gasto energético por actividad física y un factor que contribuye en gran magnitud al gasto energético diario.
- El umbral de corte entre activo/inactivo son 10000 pasos al día.
- No olvides que caminar no es suficiente, necesitas alcanzar intensidades moderadas/vigorosas de actividad física para mejorar tu salud. ¡Para eso no hay nada mejor que coger una barra y hacer unas sentadillas!
¡Ponte las zapatillas y dale caña!
Fuentes Bibliográficas
- Blair, S. N. (1989). Physical fitness and all-cause mortality. A prospective study of healthy men and women. JAMA: The Journal of the American Medical Association, 262(17), 2395–2401.
- Blair, S. N., Kohl, H. W., Barlow, C. E., Gibbons, L. W., Paffenbarger, R. S., & Macera, C. A. (1995). Changes in Physical Fitness and All-Cause Mortality: A Prospective Study of Healthy and Unhealthy Men. JAMA: The Journal of the American Medical Association, 273(14), 1093–1098.
- Cadenas-Sanchez, C., Intemann, T., Labayen, I., Artero, E. G., Alvarez-Bueno, C., Sanchis-Moysi, J., … Ortega, F. B. (2019). Prevalence of severe/morbid obesity and other weight status and anthropometric reference standards in Spanish preschool children: The PREFIT project. Pediatric Research.
- Chung, N., Park, M.-Y., Kim, J., Park, H.-Y., Hwang, H., Lee, C.-H., … Lim, K. (2018). Non-exercise activity thermogenesis (NEAT): a component of total daily energy expenditure. Journal of Exercise Nutrition & Biochemistry, 22(2), 23–30.
- Kokkinos, P., Sheriff, H., & Kheirbek, R. (2011). Physical inactivity and mortality risk. Cardiology Research and Practice, 1(1), 924945.
- Lee, D. chul, Artero, E. G., Sui, X., & Blair, S. N. (2010). Mortality trends in the general population: the importance of cardiorespiratory fitness. Journal of Psychopharmacology (Oxford, England), 24(4 Suppl), 27–35.
- Ortega, F. B., Sui, X., Lavie, C. J., & Blair, S. N. (2016). Body Mass Index, the Most Widely Used but Also Widely Criticized Index Would a Criterion Standard Measure of Total Body Fat Be a Better Predictor of Cardiovascular Disease Mortality? Mayo Clinic Proceedings, 91(4), 443–455.
- Trexler, E. T., Smith-Ryan, A. E., & Norton, L. E. (2014). Metabolic adaptation to weight loss: Implications for the athlete. Journal of the International Society of Sports Nutrition, 11(1), 7.
- Tudor-Locke, C., & Bassett, D. R. (2004). How Many Steps/Day Are Enough? Preliminary Pedometer Indices for Public Health. Sports Medicine, 34(1), 1–8.
- Von Loeffelholz C, Birkenfeld A (2000). The Role of Non-exercise Activity Thermogenesis in Human Obesity. In: Feingold KR, Anawalt B, Boyce A, et al., editors. Endotext [Internet]. South Dartmouth (MA): MDText.com.
Entradas Relacionadas
- Cómo acelerar el metabolismo
- Una pregunta que puede ser común es: ¿por qué no pierdo peso si como sano? La respondemos en este enlace.
- ¿Cómo evitar el efecto Rebote? Te lo contamos aquí.

Blog de Fitness, Nutrición, Salud y Deporte | Blog HSN En el Blog de HSNstore encontrarás tips sobre Fitness, deporte en general, nutrición y salud – HSNstore.com 
